
锂电池的性能直接决定了电子设备、电动工具、储能系统以及各类移动设备的运行质量。而锂电池放电曲线与充电曲线,是判断电池能力、健康状况、效率与循环寿命的关键依据。通过分析这些曲线,可以直观了解电池在不同工况下的电压、电流与容量变化,从而精确评估电池性能。
本文将用最清晰的方式带你全面理解:
? 锂电池放电曲线是什么
? 如何分析放电曲线的稳定性、容量与内阻
? 哪些因素会影响放电曲线
? 锂电池充电曲线包含哪些阶段
? 如何通过曲线评估充电效率与终止电压
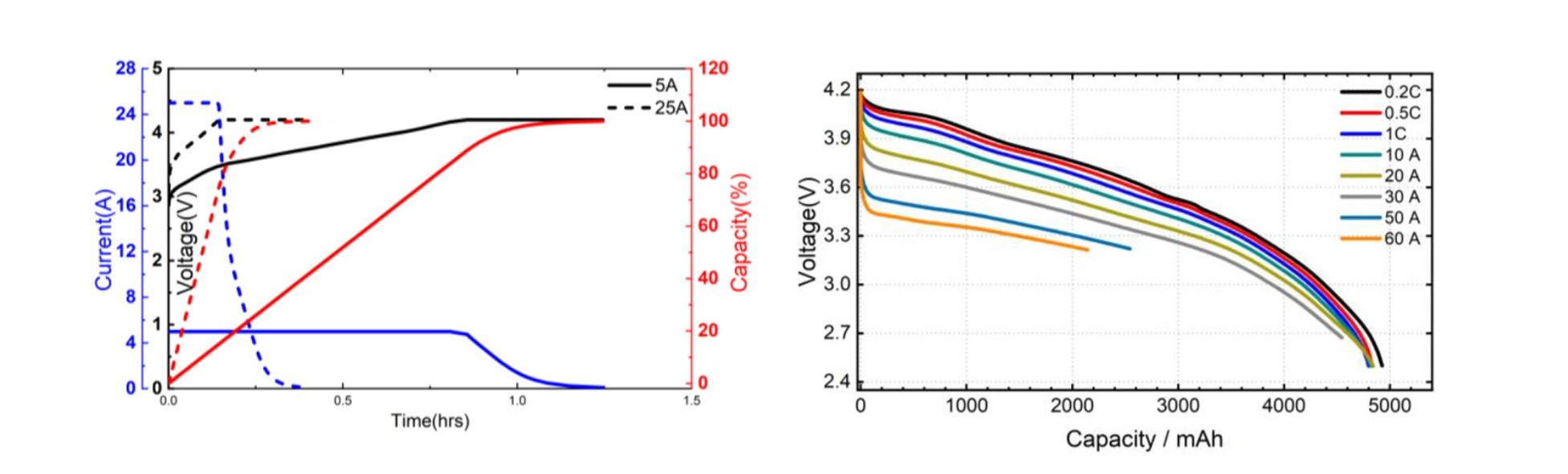
锂电池在放电过程中,电压会随时间、容量、SOC 或 DOD 不断变化。以电压为纵轴,以时间或容量为横轴绘制出的图线,就是锂电池放电曲线。
常见放电曲线包括:
电压-时间曲线
电压-容量曲线(比容量曲线)
电压-能量曲线(比能量曲线)
电压-SOC 曲线
电流-时间曲线
电压下降缓慢
平台区更长
可用容量更高
电压明显更快下跌
容量看似下降
内阻与极化效应更明显
这些差异让放电曲线成为判断电池负载能力的关键工具。
分析放电曲线时主要关注斜率、电压平台、容量以及内阻变化。
平坦的放电曲线表示:
电池电压稳定
输出能量稳定
电池结构健康
平台区越长,说明电池在大部分放电阶段都能维持良好电压。
放电曲线下的面积可反映电池的可输出容量。
面积越大 → 电池可用容量越高 → 续航越好。
内阻越大:
电压下降越快
放电平台越低
输出功率下降
内阻升高是电池老化的重要标志,因此放电曲线是评估 SOH(健康状态)的关键工具。
比较不同倍率下的曲线,可评估电池:
实际容量
快速放电能力
内阻与极化程度
这对于电动车、电动工具与储能应用尤为重要。
若多次循环后的曲线仍保持稳定,说明:
电池寿命良好
结构无明显劣化
容量衰减较小
反之:
平台下沉
容量减少
电压下降更快
说明电池正在逐步老化。
影响放电曲线的因素很多,主要包括:
LiFePO4:平台最平稳
LiCoO2:能量密度高但平台较陡
LiMn2O4:中等水平
SOC 越高 → 起始电压越高。
倍率越高 → 电压下降越快。
低温 → 内阻变大 → 曲线变扁
高温 → 性能提升但加速老化
老化会导致:
内阻增大
容量降低
放电平台变短
恒流负载:曲线规律
恒功率负载:电压下降更快
变化负载:曲线不稳定
阻抗越高 → 电压越容易下跌。
影响离子迁移速率,从而影响电压平台。
串/并联方式也会影响整体放电曲线。
锂电池充电曲线展示电压与电流在充电过程中的变化,通常包含三个阶段:
以恒定电流快速充电
电压持续上升
属于充电最快的阶段
电压达到阈值(如 4.2V)
电压保持不变
电流逐渐下降
电池实际容量逐步接近 100%
低电流补偿自放电
保持电池满电状态
比较输入能量与实际储存能量,可判断效率。
效率越高:
热量越少
电池寿命越长
终止电压设置过高 → 容易过充,导致:
电池寿命下降
可能造成安全风险
合理设置终止电压,才能保证安全与稳定。
Q: 典型的锂电池放电曲线是什么样的?
A: 前期为稳定的电压平台,随后逐渐下降,接近终止电压时会急剧下跌。
Q: 放电倍率如何影响曲线?
倍率越高 → 电压下降越快 → 平台越短。
Q: 为什么接近放空时电压会快速降低?
因为内部阻抗增大,电池反应动力不足。
Q: 温度会影响放电曲线吗?
会。低温时内阻增大,使曲线更不稳定。
Q: 如何通过放电曲线延长电池寿命?
避免深度放电、避免高倍率放电、注意温度管理。
发布时间: 2025-11-21 09:35:59 >>资讯列表
本网站所发布文章,均来自于互联网,不代表本站观点,如有侵权,请联系删除